7b Planering matematik kap. 3
Grundskola
·
Årskurs 7
·
Matematik
·
Ärentunaskolan, Uppsala kommun Grundskola
·
9 januari 2020

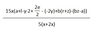
Den som löser uppgiften i bilden vinner äran och får en stjärna på provet!
Matriser i planeringen
Innehåller inga matriser
Uppgifter
Innehåller inga uppgifter